LLMs are secretly good at regression calculations
If you know the special way to prompt them, that is.

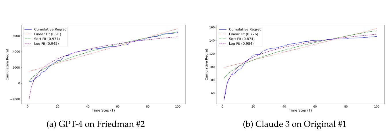
Can an AI system designed for language also excel at math? One of this week’s hottest new studies suggests the answer is yes.
This finding could upend our basic assumptions about AI - namely, that optimization linguistic token prediction limits the usefulness of LLMs for math. In this post, we’ll take a look at:
What the researchers actually did and discovered
How language models seem to "learn math" as a side effect of how they work
What it means for the future of AI in data science and beyond
To read the full analysis, become a paid subscriber. Let’s go!


